高性能计算服务
>
软件专区
>
最佳实践
>
BoltzTraP的热电材料性质计算及数据处理实践详解
热电材料的高效计算与性能优化依赖于精准的能带结构分析与可靠的后处理流程。
BoltzTraP是一个基于半经典玻尔兹曼理论,用于求解体系电子输运性能的软件。它由Georg K.H. Madsen教授和David J. Singh教授开发,主要用于计算热电材料的Seebeck系数、电导率等性能参数。BoltzTraP的第一代版本于2006年发布,而BoltzTraP2则在2018年发布,增加了对自旋轨道耦合的处理。
本次实操,我们将以Si高精度自洽计算为基础,详细介绍如何在超算互联网使用BoltzTraP、VASPKIT进行热电输运性能的完整计算流程:从高精度自洽计算,到通过VASPKIT生成输入文件、BoltzTraP执行与结果解析,再到Python脚本与Origin的数据后处理(单位转换、载流子浓度校准、S/σ/PF曲线绘制及功率因子优化)。
实操流程聚焦热电材料计算的关键环节:弛豫时间设定、能级-费米面偏移分析、NP型转变点识别,以及多温度数据整合等。通过这一流程,研究人员可准确评估材料的热电优值(ZT)极限与载流子浓度窗口,为筛选高性能热电材料提供从理论计算到工程设计的全链路实践指导。
目前,超算互联网提供预编译的VASPKIT v1.2.5版本,支持一键购买使用。 https://www.scnet.cn/ui/mall/detail/goods?type=software&common1=APP_SOFTWARE&id=1773529328276246529&resource=APP_SOFTWARE
您可以通过“我的商品”,在“应用软件”中找到或者搜索该版本商品,点击“命令行”,即可选择区域中心、命令行快速使用软件。
1.准备高精度、高k点的VASP自洽计算文件,确保vasprun.xml,DOSCAR,和EIGENVAL文件完整且收敛良好。
vasp的计算注意事项:
推荐使用原胞(Primitive Cell)进行建模,以降低计算量并提高能带分辨率; KPOINTS的k点参数一定要大,如追求极致精度,可在INCAR中添加ISYM=0,取消对称性,增加实际计算的点的数量。
2.检查完计算结果后,使用vaspkit处理VASP的计算数据并生成boltztrap的输入文件。
这里使用vaspkit的73菜单中的731功能提取能带与结构数据:


输入731数字

输入VASP的文件和输出boltztrap的计算文件

Energy文件对应计算的能级,由EIGENVAL文件决定

Intrans文件对应boltztrap的输入设置,后面的注释标注着每一行的含义

Struct文件对应计算的结构参数
确认输入文件正常之后,新建一个case文件夹,与boltztrap输入文件的前缀一致,并移动文件
随后进入case文件夹,使用前激活vasp运行环境,这里主要需要Intel编译器。 将boltztrap1.2.5的执行文件复制至case目录,执行boltztrap1.2.5的输入命令 ./x_trans BoltzTraP


可以看到,计算输出的数据在case.trace文件中


case.condtens文件中会有区分方向的数据张量


使用Python2 来执行get_boltzman_trans.py脚本
数据储存在_tmp_文件夹中

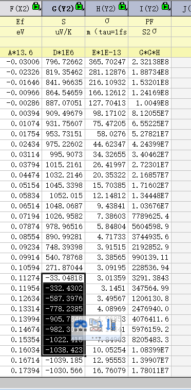
我们以300K数据为例

在Origin中导入energy.dat文件

首先矫正第一行单位,新开一列,通过乘系数13.6,将单位Ry变换为eV,校正费米能级偏移。

绘制S-E曲线,横轴为化学势(单位eV),纵轴为Seebeck系数(μV/K)。


输入常数项,结合电子弛豫时间,1fs也就是1e-13s,换算得到电导率。弛豫时间准确数值可通过先求形变势的方法获得:


随后,绘制σ-E曲线

计算功率因子(PF=S²σ),筛选PF峰值对应的载流子浓度范围

横坐标为单位为eV的能量,代表了偏离费米能级的大小。
从OUTCAR或脚本提取晶胞体积数据(单位ų),载流子浓度除以体积处理获得单位为1e20 cm-1


根据S-E图像,找到seebeck系数NP型转变点

拆分数据,分别获得NP型数据:横坐标设置为log10格式

进行seebeck σ和PF的绘图,得到功率因子的最佳载流子浓度值

得到单温度数据集(300K)的整合与可视化

最后,重复上述流程处理其他温度数据,生成对应数据集并绘图。