高性能计算服务
>
软件专区
>
最佳实践
>
AMSET计算材料形变势迁移率以及数据处理
AMSET是一款专为计算电子输运性质而设计的开源软件包,可根据第一性原理输入计算固态半导体和绝缘体载流子散射率,广泛应用于新能源材料和电子器件的研究。

AMSET扩展了现有的极性和非极性电子-声子耦合、离子化杂质和基于各向同性能带结构的压电散射机制的公式以支持高度各向异性的材料,可在高通量计算工作流程中使用,以精确筛选载流子迁移率、寿命和热电功率。
本次实操,我们以砷化镓(GaAs)为例,基于超算互联网使用AMSET计算得到形变势和不同散射机制下载流子迁移率流程,并处理获得热电材料相关输运性质。
首先使用GaAs最小原胞结构进行形变势计算


我们先新建一个文件夹 def,把POSCAR 拷贝到def中。
形变势(Deformation potentials)描述了能带能量随体积变化的变化,计算如下

S是均匀应力张量,amset计算的形变范围为–0.5%和+0.5 %之间,并取平均值。针对应变张量的每个分量分别计算。为了解释变形细胞间平均静电势的变化,本征值与核心态的平均能级对齐。(INCAR中必须加入参数ICORELEVEL = 1)
AMSET包括一个工具来帮助计算形变势。初始输入结构需要完全松弛。 首先生成计算文件 输入命令,读取POSCAR, amset deform create

根据对称性生成形变文件
再新建四个文件夹,为unf 1 2 3 分别对应于未加形变,和带有形变的三个POSCAR
然后设置计算的INCAR
计算形变势的核心参数为 ISMEAR = 0 (gaussian smearing method) SIGMA = 0.05 (please check the width of the smearing) LORBIT = 11 (PAW radii for projected DOS) NEDOS = 2001 (DOSCAR points) NELM = 60 (Max electronic SCF steps) EDIFF = 1E-08 (SCF energy convergence, in eV)
ICORELEVEL = 1

将每个形变的文件进行vasp自洽计算后,通过命令amset deform read unf 1 2 3 ,处理获得相应能带的形变势



相应能带的形变势可以通过矩阵读取。
同时,所有数据写入deformation.h5中,可供我们后续计算使用。
在进行amset计算之前,需要对现有结构进行一步自洽计算(可以使用未加形变的unf文件夹的计算结果)计算过程参数与形变势计算基本保持一致。 注意:LWAVE = .TRUE.
在完成静态计算的文件夹中,使用命令amset wave,获得amset的波函数读入文件wavefunction.h5,后续进行amset 计算,计算中我们需要准备以下四个文件:

deformation.h5 形变势获得 vasprun.xml 自洽计算获得 wavefunction.h5自洽计算获得 settings.yaml 需手动设置

其中deformation_potential : deformation.h5说明了amset计算过程中会读取我们之前的形变势。
准备好四个文件之后可进行amset计算,输入命令amset run
如果体系过大,占用资源较多,也可以直接更改提交软件脚本,提交amset为排队任务,提交脚本如下:
注意:请严格写正确amset的安装路径(通过which amset获取)

Amset计算的过程日志和基本数据会保存在amset.log文件中

可以看到,不同散射机制的迁移率数据:


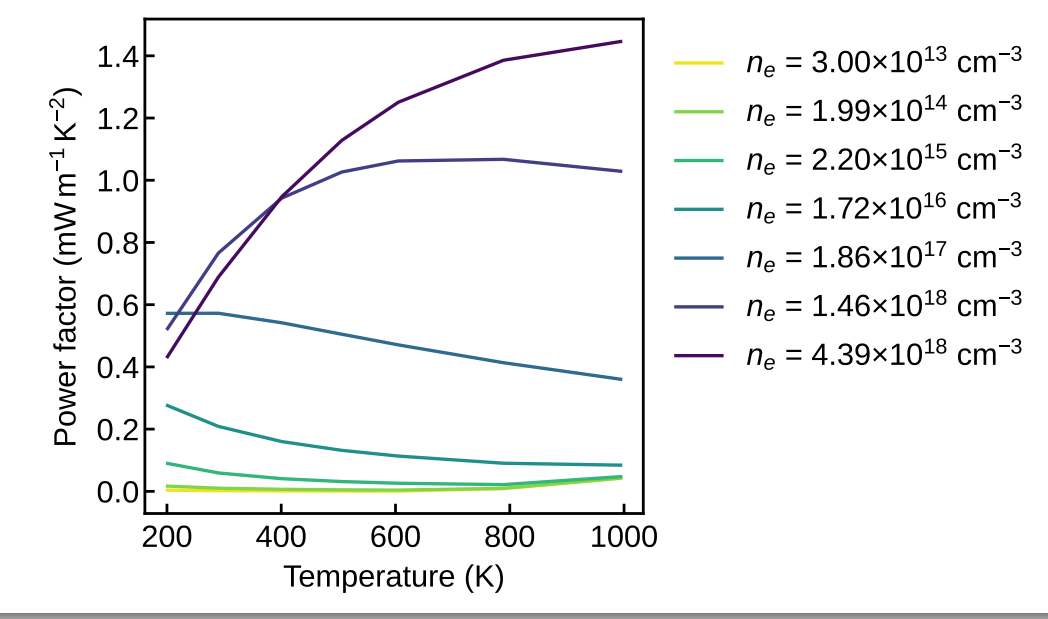
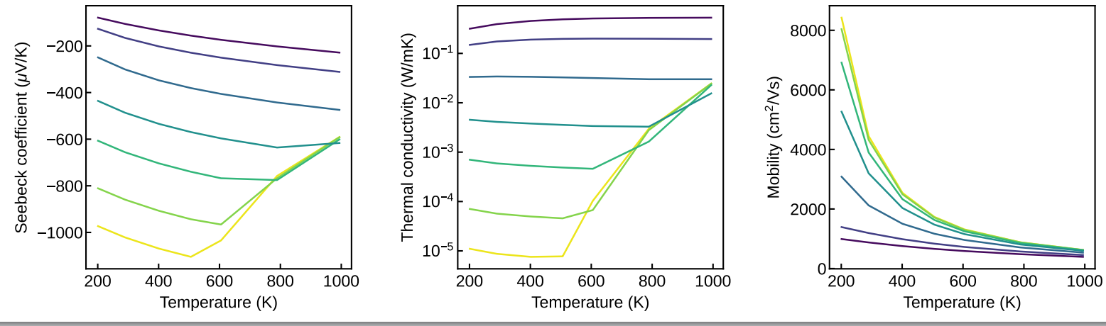
热电输运性质数据:

通过amset绘图命令绘制效果如下:
绘制迁移率 amset plot mobility transport_55x55x55.json

绘制散射率 amset plot rates mesh_55x55x55.h5

热电性质(N型)NP型可通过调整掺杂浓度获得 amset plot transport transport_55x55x55.json --n-type --conductivity --seebeck --thermal-conductivity --mobility --power-factor


以上,我们就完成了在超算互联网使用AMSET计算材料形变势迁移率以及数据处理与可视化。希望本篇最佳实践为您提供一些有价值的信息和实践技巧。